本稿は、2025年11月に開催された第47回風力エネルギー利用シンポジウムにて発表された「LFM-GPVとMSM-GPVの風速プロファイルの精度評価」の一部を再編集したものです。
はじめに
風力発電事業において、気象庁が提供するGPV(格子点値)データ*1は、風況調査の初期検討や長期補正、発電量予測など、幅広い用途で活用されています。国内では、局地数値予報モデル(LFM)およびメソ数値予報モデル(MSM)*2から出力される高時間・空間解像度のGPV1), 2) が利用可能であり、これらの風速推定精度を把握することは実務上重要となります。
*1 GPVとは、気象モデルによって計算された「将来の天気や風の予測結果」を、一定の間隔(格子)で数値として整理したデータのことです。
*2 LFMとMSMはいずれも気象庁の数値予報モデルです。大きく分けると以下のような違いがあります。
・LFM:より細かい範囲(局地)を高解像度で計算
・MSM:やや広い気象範囲を安定的に計算
データと手法
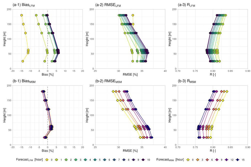
今回は、青森県六ヶ所村のむつ小川原洋上風況観測試験サイト(MTS)3)に設置された鉛直ライダー(ZX300M)による1年間の観測データを用いて、LFM-GPVおよびMSM-GPVの初期値および予報値における風速プロファイルの精度評価を行いました。図1にZX300Mの位置、表1に風況観測の概要を示します。GPV風速の評価指標には、Bias、RMSE、相関係数を用い、複数高度において定量的な比較を行っていました。

表1 ZX300Mによる風況観測の概要

結果と考察
図2に、MTSの年間におけるLFM-GPV風速とMSM-GPV風速のBias、RMSE、Rの鉛直プロファイルを示します。検証の結果、LFM-GPVは初期値において風速を顕著に過小評価する傾向が確認されました。一方で、予報時間が進むにつれて、その誤差傾向は正方向へとシフトする特徴が見られました。これに対し、MSM-GPVでは初期値と予報値の間に大きな系統差は見られず、比較的に安定した風速の再現性を示しました。

Forecastの0hは初期値、1-15hは予報値を意味する。
さらに、LFM-GPVの初期値と1時間予報値から算出した年平均風速分布を比較したところ(図3)、MTSで確認された初期値と予報値の大小関係が、日本周辺の広い領域においても生じていることが示唆されました。これは、LFMのデータ同化システムにおいて、AMeDAS(Automated Meteorological Data Acquisition System;地域気象観測システム)の風況観測データが同化されていることと関係している可能性があります。

おわりに
これらの結果から、LFM-GPVの初期値を力学的ダウンスケーリングや風況解析の入力データとして用いる際には、系統的な誤差の影響に留意する必要があることが示されました。今後は、全国の観測データを用いた検証を進めるとともに、気象庁GPVとそれを入力とした風況シミュレーション結果の精度評価を継続的に行っていく予定です。

レラテックでは風況コンサルタントとして、風力発電のための「観測」と「推定」を複合的に用いた、最適な風況調査を実施いたします。風況に関するご相談がありましたらお気軽にお問い合わせください。
参考文献
1) 気象業務支援センター, 局地数値予報モデルGPV(LFM),
URL: https://www.jmbsc.or.jp/jp/online/file/f-online10300.html(アクセス:2025/12/22).
2) 気象業務支援センター, メソ数値予報モデルGPV(MSM), URL: https://www.jmbsc.or.jp/jp/online/file/f-online10200.html(アクセス:2025/12/22).
3) むつ小川原洋上風況観測試験サイト, URL: https://mo-testsite.com(アクセス:2025/12/22).